lemon-mirror:
Home >> Toyota >> 2004 >> Land Cruiser >> Repair and Diagnosis >> Body & Frame >> Body, Cab Control Systems >> Body Control Systems - Diagnostics >> How To Proceed With Troubleshooting

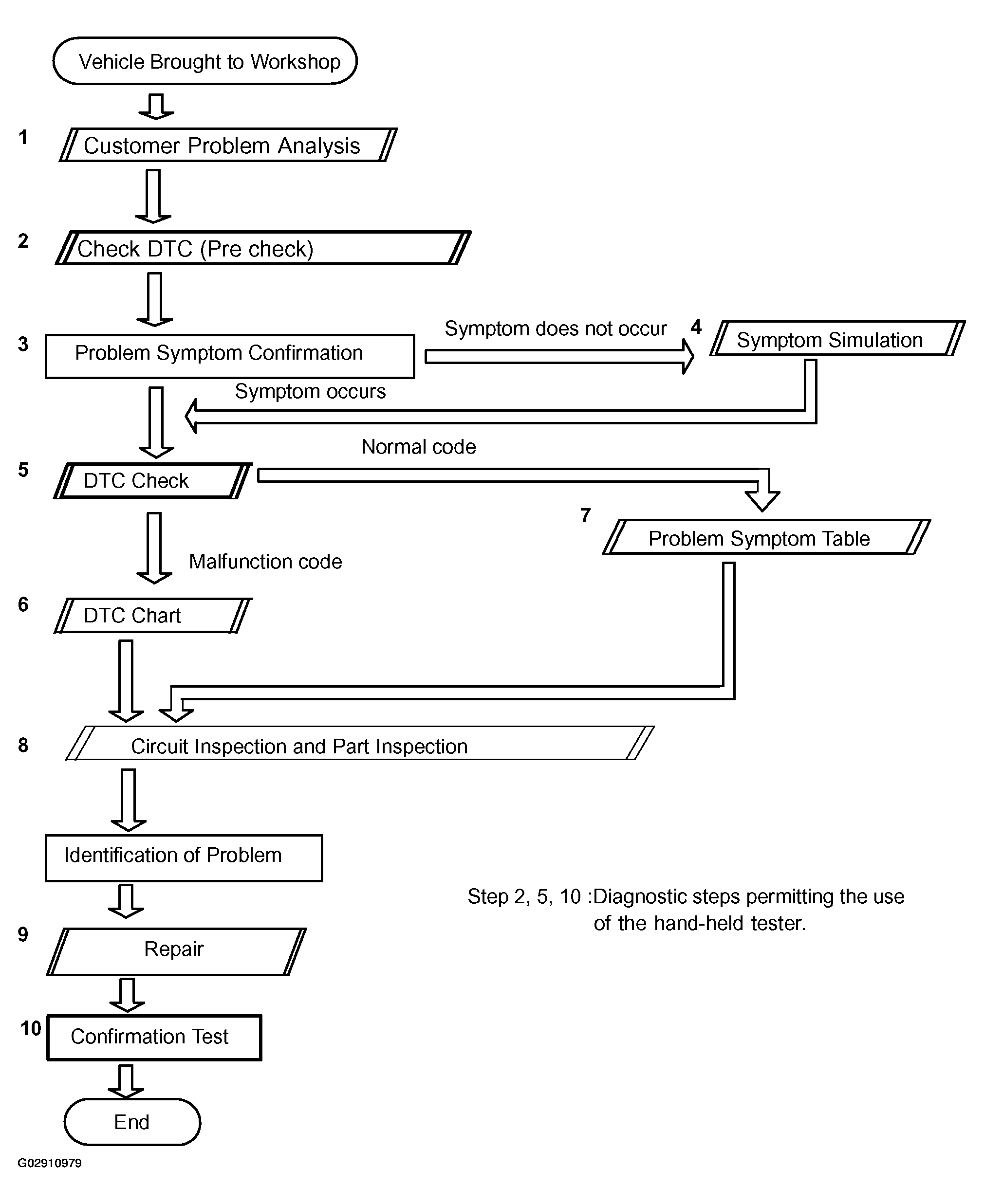
How To Proceed With Troubleshooting

HINT:

This ECU is connected to the multiplex communication system. Therefore, be sure to check that there is no troubles in the multiplex communication system before performing the troubleshooting.

Fig 1: Body Control System Trouble Shooting Flow Chart
G02910979Courtesy of © TOYOTA, LICENSE AGREEMENT TMS1002