lemon-mirror:
Home >> Toyota >> 2005 >> ECHO 2D Sedan, Automatic >> Repair and Diagnosis >> Engine Performance >> System >> Engine - Diagnostics >> Pre-Check

Engine - Diagnostics: Pre-Check

  1. DIAGNOSTIC SYSTEM 
    1. Description

      When troubleshooting OBD II (On-Board Diagnostics) vehicles, a hand-held tester or OBD II scan tool (complying with SEA J1987) must be connected to the DLC3 (Data Link Connector 3) of the vehicle. Various data in the vehicle's ECM (Engine Control Module) can be then read. OBD II regulations require that the vehicle's on board computer illuminates the MIL (Malfunction Indicator Lamp) on the instrument panel when the computer detects a malfunction in:

      Fig 1: Identifying Malfunction Indicator Lamp
      G02590421Courtesy of © TOYOTA, LICENSE AGREEMENT TMS1002
      • The emission control systems and components
      • The power train control components (which affect vehicle emissions)
      • The computer itself

      In addition, the applicable DTCs (Diagnostic Trouble Codes) prescribed by SEA J2012 are recorded in 3 consecutive trips, the MIL turns off automatically but the DTCs remain recorded in the ECM (Engine Control Module) memory.

      To check the DTCs, connect a hand-held tester or OBD II scan tool to the DLC3. The tester and scan tool display DTCs, freeze frame data, and a variety of engine data. The DTCs and freeze frame data can be erased with the tester and scan tool.

      Fig 2: Connecting Hand-Held Tester To DLC3
      G02590422Courtesy of © TOYOTA, LICENSE AGREEMENT TMS1002
    2. Normal mode and check mode

      The diagnosis system operates in the normal mode during normal vehicle use. In normal mode, 2 trip detection logic is used to ensure accurate detection of malfunctions. Check mode is also available as an option for technicians. In check mode, 1 trip detection logic is used for simulating malfunction symptoms and increasing the system's ability to detect malfunctions, including intermittent problems (hand-held tester only).

    3. 2 tip detection logic

      When a malfunction is first detected, the malfunction is temporarily stored in the ECM memory (1st trip).If the same malfunction is detected during the next sequent drive cycle, the MIL is illuminated (2nd trip).

    4. Freeze frame data

      The freeze frame data record the engine conditions (fuel system, calculated engine load, engine coolant temperature, fuel trim, engine speed, vehicle speed, etc) when malfunctions are detected. When troubleshooting, freeze frame data can help determine if the vehicle was moving or stationary, if the engine was warmed up or not, if the air-fuel ratio was lean or rich, and other data, from the time the malfunction occurred.

    5. DLC3 (Data Link Connector 3)

      The vehicle's ECM uses the ISO 9141-2 communication protocol. The terminal arrangement of the DLC3 complies with SAE J1962 and matches the ISO 9141-2 format.

      Fig 3: Identifying Data Link Connector 3 Terminals
      G02590423Courtesy of © TOYOTA, LICENSE AGREEMENT TMS1002
      DLC3 TERMINAL REFERENCE

      Symbol Terminal No. Name Reference Terminal Result Condition
      SIL 7 Bus "+" line 5-Signal ground Pulse generation During transmission
      CG 4 Chassis ground Body ground 1 Ω or less Always
      SG 5 Signal ground Body ground 1 Ω or less Always
      BAT 16 Battery positive Body ground 9 to 14 V Always
      NOTE: The DLC3 is the interface prepared for reading various data from the vehicle's ECM. After connecting the cable of a hand-held tester or OBD II scan tool, turn the ignition switch to ON and turn the tester or scan tool ON.

      If a communication failure message is displayed on the tester or scan tool screen (on the tester: UNABLE TO CONNECT TO VEHICLE), a problem exists in either the vehicle or tester. In order to identify the location of the problem, connect the tester to another vehicle.

      • If communication is normal: Inspect the DLC3 on the original vehicle.
      • If communication is impossible: The problem is probably with the tester itself. Consult the Service Department listed in the instruction manual.
    6. Battery voltage

      Battery voltage: 11 to 14 V 

      If the voltage is below 11 V, recharge the battery before proceeding.

    7. MIL (Malfunction Indicator Lamp)
      1. The MIL illuminates when the ignition switch is turned to ON and the engine is not running.
        NOTE: If the MIL does not illuminate, check the MIL circuit (see CIRCUIT DESCRIPTION ).
      2. The MIL should turn off when the engine is started. If the MIL remains on, the diagnosis system has detected a malfunction or abnormality in the system.
  2. DTC CHECK (Normal Mode) 
    NOTE: Hand-held tester only:
    When the diagnosis system is changed from normal mode to check mode or vice versa, All DTCs and freeze frame data recorded in normal mode or erased. Before changing modes, always check and make a note of DTCs and freeze frame data.
    NOTE:
    • DTCs which are stored in the ECM can be displayed on a hand-held tester or OBD II scan tool. A hand-held tester can display current and pending DTCs.
    • Some DTCs are not set if the ECM does not detect the same malfunction again during a second consecutive driving cycle. However, such malfunctions, detected on only one occasion, are stored as pending DTCs.
    1. Check DTCs (using a hand-held tester or OBD II scan tool)
      1. Connect a hand-held tester or OBD II scan tool to the DLC3.
      2. Turn the ignition switch to ON.
      3. Turn the tester or scan tool ON.
      4. For the tester, select the following menu items: DIAGNOSIS / ENHANCED OBD II / DTC INFO / CURRENT CODES.
        Fig 4: Connecting Hand-Held Tester Or OBD II Scan Tool To DLC3
        G02590424Courtesy of © TOYOTA, LICENSE AGREEMENT TMS1002
      5. Check the DTC(s) and freeze frame data, and then write them down.
      6. See DIAGNOSTIC TROUBLE CODE CHART  to check the details of the DTC(s).
      NOTE: When simulating a symptom with an OBD II scan tool to check DTCs in the DIAGNOSTIC TRO7UBLE CODE CHART, subject to 2 trip detection logic, conduct either of the following operations.
      • Check pending DTCs using the Continuous Test Result function mode 07 for SAE J1979).
      • Simulate the symptom again after turning the ignition switch to OFF upon finishing the first symptom simulation, so that the MIL is illuminated and the DTC(s) is stored in the ECM.
    2. Clear DTCs (using a hand-held tester or OBD II scan tool)
      1. Connect a hand-held tester or OBD II scan tool to the DLC3.
      2. Turn the ignition switch to ON.
      3. Turn the tester or scan tool ON.
      4. For the tester, select the following menu items: DIAGNOSIS / ENHANCED OBD II / DTC INFO / CLEAR CODES.
      5. Press the YES button.
    3. Clear DTCs (without using a hand-held tester or OBD II scan tool)
      1. Perform either one of the following operations.
        • Disconnect the negative battery cable for more than 1 minute.
        • Remove the EFI fuse from the Relay Block (R/B) located inside the engine compartment for more than 1 minute.
  3. 3. DTC CHECK (Check Mode) 
    NOTE: Hand-held tester only:
    When the diagnosis system is changed from normal mode to check mode or vice versa, all DTCs and freeze frame data recorded in normal mode are erased. Before changing modes, always check and make a note of DTCs and freeze frame data.
    NOTE: Hand-held tester only:

    Compared to normal mode, check mode is more sensitive to malfunctions. Therefore, check mode can detect the malfunctions that cannot be detected by normal mode.

    1. Procedure for check mode (using a hand-held tester)
      1. Make sure that the vehicle is in the following condition:
        • Battery voltage 11 V or more.
        • Throttle valve fully closed.
        • Transmission in the P or N position (A/T).
        • A/C switched OFF.
      2. Turn the ignition switch to OFF.
      3. Connect a hand-held tester to the DLC3.
        Fig 5: Connecting Hand-Held Tester To DLC3
        G02590425Courtesy of © TOYOTA, LICENSE AGREEMENT TMS1002
      4. Turn the ignition switch to ON.
      5. Turn the tester ON.
      6. Select the following menu items: DIAGNOSIS / ENHANCED OBD II / CHECK MODE.
      7. Switch the ECM from normal mode to check mode. (Make sure the MIL flashes as shown in the illustration.)
      8. Start the engine. (Make sure the MIL turns off.)
      9. Simulate the conditions of the malfunction described by the customer.
      10. Check DTCs and freeze frame data using the tester.
      Fig 6: MIL Flashes Graph In Check Mode
      G02590426Courtesy of © TOYOTA, LICENSE AGREEMENT TMS1002
    NOTE: Do not turn the ignition switch to OFF, as turning it to OFF switches the diagnosis system from check mode to normal mode, which erases all the stored DTCs and freeze frame date.
  4. FAIL-SAFE CHART 

    If any of the following codes is recorded, the ECM enters the fail-safe mode.

    FAIL-SAFE CHART

    DTC No. Fail-Safe Operation Fail-Safe Deactivation Conditions
    P0031 The heater circuit in which the abnormality is detected is turned off Ignition switch OFF
    P0032 The heater circuit in which the abnormality is detected is turned off Ignition switch OFF
    P0037 The heater circuit in which the abnormality is detected is turned off Ignition switch OFF
    P0038 The heater circuit in which the abnormality is detected is turned off Ignition switch OFF
    P0100 Ignition timing is calculated from engine speed and a throttle angle "Pass" condition detected.
    P0102 Ignition timing is calculated from engine speed and a throttle angle "Pass" condition detected.
    P0103 Ignition timing is calculated from engine speed and a throttle angle "Pass" condition detected.
    P0110 Intake air temp. is fixed at 20°C (68°F) "Pass" condition detected.
    P0112 Intake air temp. is fixed at 20°C (68°F) "Pass" condition detected.
    P0113 Intake air temp. is fixed at 20°C (68°F) "Pass" condition detected.
    P0115 Engine coolant temp. is fixed at 80°C (176°F) "Pass" condition detected.
    P0117 Engine coolant temp. is fixed at 80°C (176°F) "Pass" condition detected.
    P0118 Engine coolant temp. is fixed at 80°C (176°F) "Pass" condition detected.
    P0120 Fuel cut intermittently "Pass" condition detected and ignition switch OFF
    P0122 Fuel cut intermittently "Pass" condition detected and ignition switch OFF
    P0123 Fuel cut intermittently "Pass" condition detected and ignition switch OFF
    P0121 Fuel cut intermittently "Pass" condition detected and ignition switch OFF
    P0325 Max. ignition timing retardation Ignition switch OFF
    P0351 Fuel cut "Pass" condition detected.
    P0352 Fuel cut "Pass" condition detected.
    P0353 Fuel cut "Pass" condition detected.
    P0354 Fuel cut "Pass" condition detected.
  5. CHECK FOR INTERMITTENT PROBLEMS 
    NOTE: Hand-held tester only:

    Inspect the vehicle's ECM using check mode. Intermittent problems are easier to detect with the hand-held tester when the ECM is in check mode. In check mode, the ECM uses 1 trip detection logic, which is more sensitive to malfunctions than normal mode (default) that uses 2trip detection logic.

    1. Clear DTCs (see step 2).
    2. Switch the ECM from normal mode to check mode using a hand-held tester.
    3. Perform a simulation test (see HOW TO PROCEED WITH TROUBLESHOOTING ).
    4. Check and wiggle the harness(es), the connector(s) and terminal(s) (see HOW TO USE THE DIAGNOSTIC CHART AND INSPECTION PROCEDURE ).
  6. BASIC INSPECTION 

    When a malfunction is not confirmed by the DTC check, troubleshooting should be carried out in all circuits considered to be possible causes of the problem. In many cases, by carrying out the basic engine check shown in the following flowchart, the location of the problem can be found quickly and efficiently. Therefore, using this check is essential when engine troubleshooting.

    1. Is battery positive voltage 11 V or more when engine stopped? 
      1. NO: change or replace battery. 
      2. YES: Go To Next Step 
    2. Is engine cranked? 
      1. NO: Proceed to page ST-16 and continue to troubleshoot. 
      2. YES: Go To Next Step 
    3. Does engine start? 
      1. NO: Go to   6 . 
      2. YES: Go To Next Step 
    4. Check air filter. 

      PREPARATION:

      Remove the air filter.

      OK:

      Visual check that the air filter is not excessively dirty or oily.

      1. NG: Replace air filter. 
      2. OK : Go to next step 
    5. Check idling speed. 

      PREPARATION:

      1. Warm up the engine to the normal operating temperature.
      2. Switch off all the accessories.
      3. Switch off A/C.
      4. Shift the transmission into the N position.
      5. Connect the hand-held tester or OBD II scan tool to the DLC3 of the vehicle.

      CHECK:

      Check the idling speed.

      OK:

      1. Idling speed: 
      2. M/T: 600 to 700 RPM 
      3. A/T: 650 to 750 RPM 
      1. NG: Proceed to  PROBLEM SYMPTOMS TABLE  . 
      2. OK : Go to next step 
    6. Check fuel pressure. 

      PREPARATION:

      1. Be sure that there is sufficient fuel in the tank.
      2. Connect the hand-held tester to the DLC3.
      3. Turn the ignition switch to ON and turn the hand-held tester ON.
      4. Use ACTIVE TEST mode to operate the fuel pump.
      5. Please refer to the hand-held tester operator's manual for further details.
      6. If you have no hand-held tester, connect the positive (+) and negative (-) battery leads to the fuel pump connector (see FUEL PUMP )
        Fig 7: Preparation For Fuel Pressure Check
        G02590427Courtesy of © TOYOTA, LICENSE AGREEMENT TMS1002

      CHECK:

      Check for the fuel pressure in the fuel inlet hose when it is pinched by hand.

      NOTE: You will hear the fuel flowing sound while the fuel pump is in operation.
      1. NG: Proceed to page SF-7 and continue to troubleshoot. 
      2. OK : Go to next step 
    7. Check for spark. 

      PREPARATION:

      1. Disconnect the ignition coil.
      2. Remove the spark plug.
      3. Install the spark plug to the ignition coil assembly.
      4. Disconnect the injector connector.
      5. Ground the spark plug.
        Fig 8: Preparation For Spark Check
        G02590428Courtesy of © TOYOTA, LICENSE AGREEMENT TMS1002

      CHECK:

      Check if spark occurs while the engine is being cranked.

      NOTE:
      • Do not change the electrode gap.
      • To prevent the injectors from injecting excess fuel during this test, do not crank the engine for more than 5 seconds at a time.
      1. NG: Proceed to page IG-1 and continue to troubleshoot. 
      2. OK : Go to next step 

      Proceed to  PROBLEM SYMPTOMS TABLE  . 

  7. DATA LIST 
    NOTE: By reading the DATA LIST displayed on a hand-held tester, you can check values, including those of the switches, sensors, and actuators without removing any parts. Reading the DATA LIST as the first step of troubleshooting is one method of shortening diagnostic time.
    NOTE: In the table below, the values listed under Normal Condition are for reference only. Do not depend solely on those values when determining whether or not a part is faulty.
    1. Warm up the engine.
    2. Turn the ignition switch to OFF.
    3. Connect a hand-held tester to the DLC3.
    4. Turn the ignition switch to ON.
    5. Turn the tester ON.
    6. Select the following menu items: DIAGNOSIS / ENHANCED OBD II / DATA LIST.
    7. Check the values by referring to the table below.
    Fig 9: Data List Chart (1 Of 3)
    G02590429Courtesy of © TOYOTA, LICENSE AGREEMENT TMS1002
    Fig 10: Data List Chart (2 Of 3)
    G02590430Courtesy of © TOYOTA, LICENSE AGREEMENT TMS1002
    Fig 11: Data List Chart (3 Of 3)
    G02590431Courtesy of © TOYOTA, LICENSE AGREEMENT TMS1002
  8. ACTIVE TEST 
    NOTE: Performing an ACTIVE TEST enables components including the relays, VSV (Vacuum Switching Valve), and actuators, to be operated without removing any parts. The ACTIVE TEST can be performed with a hand-held tester. Performing an ACTIVE TEST as a first step of troubleshooting is one method of shortening diagnostic time.

    DATA LIST can be displayed during ACTIVE Tests.

    1. Connect the hand-held tester to the DLC3.
    2. Turn the ignition switch to ON.
    3. Turn the tester ON.
    4. Select the following menu items: DIAGNOSIS / ENHANCED OBD II / ACTIVE TEST.
    5. Perform the ACTIVE TEST by referring to the table below.
    Fig 12: Active Test Chart
    G02590432Courtesy of © TOYOTA, LICENSE AGREEMENT TMS1002
  9. DEFINITION OF TERMS 
    TERMS DEFINITION

    Term Definition
    Monitor description Description of what the ECM monitors and how it detects malfunctions (monitoring purpose and its details).
    Related DTCs Diagnostic code
    Typical enabling condition Preconditions that allow the ECM to detect malfunctions.
    Typical enabling condition With all preconditions satisfied, the ECM sets the DTC when the monitored value(s) exceeds the malfunction threshold(s).
    Sequence of operation The priority order that is applied to monitoring, if multiple sensors and components are used to detect the malfunction.
    Sequence of operation While another sensor is being monitored, the next sensor or component will not be monitored until the previous monitoring has concluded.
    Required sensor/components The sensors and components that are used by the ECM to detect malfunctions.
    Frequency of operation The number of times that the ECM checks for malfunctions per driving cycle.
    Frequency of operation "Once per driving cycle" means that the ECM detect malfunction only one time during a single driving cycle.
    Frequency of operation "Continuous" means that the ECM detects malfunction every time when enabling condition is met.
    Duration The minimum time that the ECM must sense a continuous deviation in the monitored value(s) before setting a DTC. This timing begins after the "typical enabling conditions" are met.
    Malfunction thresholds Beyond this value, the ECM will conclude that there is a malfunction and set a DTC.
    MIL operation MIL illumination timing after a defect is detected.
    MIL operation "Immediately" means that the ECM illuminates MIL, the instant the ECM determines that there is a malfunction.
    MIL operation "2 driving cycle" means that the ECM illuminates MIL, if the same malfunction is detected again in the 2nd driving cycle.
  10. TOYOTA/LEXUS PART AND SYSTEM NAME LIST 

    This reference list indicates the part names used in this manual along with their definitions.

    TOYOTA/LEXUS PART AND SYSTEM NAME LIST

    TOYOTA/LEXUS name Definition
    Toyota HCAC system, Hydro-carbon Adsorptive Catalyst (HCAC) system, HC adsorptive three-way catalyst HC adsorptive three-way catalytic converter
    Variable Valve timing system, VVT system Camshaft position sensor
    Variable valve timing system, VVT system Camshaft timing control system
    Camshaft timing oil control valve, Oil control valve, OCV, VVT, VSV Camshaft timing oil control valve
    Variable timing and lift, VVTL Camshaft timing and lift control
    Crankshaft position sensor "A" Crankshaft position sensor
    Engine speed sensor Crankshaft position sensor
    THA Intake air temperature
    Knock control module Engine knock control module
    Knock sensor Engine knock sensor
    Mass or volume air flow circuit Mass air flow meter circuit
    Vacuum sensor Manifold air pressure sensor
    Internal control module, control module, Engine control ECU, PCM Power train control module
    FC idle Deceleration fuel cut
    Idle air control valve Idle speed control
    VSV for CCV, Canister close valve VSV for canister control Evaporative emissions canister vent valve
    VSV for EVAP, Vacuum switching valve assembly No. 1, EVAP VSV, Purge VSV Evaporative emissions canister purge valve
    VSV for pressure switching valve, Bypass VSV Evaporative emission pressure switching valve
    Vapor pressure sensor, EVAP pressure sensor, Evaporative emission control system pressure sensor Fuel tank pressure sensor
    Charcoal canister Evaporative emissions canister
    ORVR system On-board refueling vapor recovery system
    Intake manifold runner control Intake manifold tuning system
    Intake manifold runner valve, IMRV, IACV (runner valve) Intake manifold tuning valve
    Intake control VSV Intake manifold tuning solenoid valve
    AFS Air fuel ration sensor
    O2 sensor Heater oxygen sensor
    Oxygen sensor pumping current circuit Oxygen sensor output signal
    Oxygen sensor reference ground circuit Oxygen sensor signal ground
    Accel position sensor Accelerator pedal position sensor
    Throttle actuator control motor, Actuator control motor, Electronic throttle motor, Throttle control motor Electronic throttle actuator
    Electronic throttle control system, Throttle actuator control system Electronic throttle control system
    Throttle/pedal position sensor, Throttle/pedal position switch, Throttle position sensor/switch Throttle position sensor
    Turbo press sensor Turbocharger pressure sensor
    Turbo VSV Turbocharger pressure control solenoid valve
    P/S pressure switch Power-steering pressure switch
    VSV for ACM Active control engine mount
    O2S TEST RESULT

    Speed sensor, Vehicle speed sensor "A" Speed sensor for skid control ECU Vehicle speed sensor
    ATF temperature sensor, Trans, fluid temp. sensor, ATF temperature sensor "A" Transmission fluid temperature sensor
    Electronic controlled automatic transmission, ECT Electronically controlled automatic
    Intermediate shaft speed sensor "A" Counter gear speed sensor
    Output speed sensor Output shaft speed sensor
    Input speed sensor, Input turbine speed sensor "A", Speed sensor (NT), Turbine speed sensor Input turbine speed sensor
    PNP switch, NSW Park/neutral position switch
    Pressure control solenoid Transmission pressure control solenoid
    Shift solenoid Transmission shift solenoid valve
    Transmission control switch, Shift lock control unit Shift lock control module
    Engine immobilizer system Vehicle anti-theft system
  11. List of Disable a Monitor 
    NOTE: The table shows the ECM monitoring status for the components listed at the top of the table when the DTCs on the left of the table are set.
    Fig 13: ECM Monitoring Status Chart (1 Of 6)
    G02590433Courtesy of © TOYOTA, LICENSE AGREEMENT TMS1002
    Fig 14: ECM Monitoring Status Chart (2 Of 6)
    G02590434Courtesy of © TOYOTA, LICENSE AGREEMENT TMS1002
    Fig 15: ECM Monitoring Status Chart (3 Of 6)
    G02590435Courtesy of © TOYOTA, LICENSE AGREEMENT TMS1002
    Fig 16: ECM Monitoring Status Chart (4 Of 6)
    G02590436Courtesy of © TOYOTA, LICENSE AGREEMENT TMS1002
    Fig 17: ECM Monitoring Status Chart (5 Of 6)
    G02590437Courtesy of © TOYOTA, LICENSE AGREEMENT TMS1002
    Fig 18: ECM Monitoring Status Chart (6 Of 6)
    G02590438Courtesy of © TOYOTA, LICENSE AGREEMENT TMS1002
  12. O2S TEST RESULT 
    1. Description of O2S TEST RESULT.

      The O2S Test Result is a part of the monitoring for Heated Oxygen (HO2) sensor malfunctions. The various states (Test Items) of the HO2 sensor are monitored by the ECM. The Test Item values (Test Value) can be read using a hand-held tester or OBD II scan tool.

      A Test Value is the latest snapshot data after the vehicle is driven to run the monitor. Therefore, the Test Value is not dynamic data.

      If a Test Value is outside the standard range, this indicates that the HO2 sensor is malfunctioning. If a Test Value is on the borderline of the standard level, any malfunctions may be concealed in the HO2 sensor.

      Test Values are cleared when the ignition switch is turned to OFF.

      Example

      O2S TEST RESULT

      Test ID Test Item Description Unit Conversion Unit Standard
      $81 Time $81 Percentage of time when HO2S voltage was below 0.05 V in HO2S monitoring time Multiply by 0.3906 % Within 60 %
      • Test ID: Code applied to each Test Item
      • Test Item: State to be monitored in the test
      • Description: Monitoring method
      • Unit Conversion: Conversion factor used to calculated the Test Value dis0played on a hand-held tester
      • Unit: Unit applied to a Test Value
      • Standard: The standard range or level used to judge whether or not the HO2 sensor is normal
      NOTE:
      • Specifics of each Test Item, Description, Unit Conversion and Standard are described in the paragraph titled "O2S TEST RESULT" in each DTC section relating the HO2 sensor, such as P0139, P0133 and P0136.
      • The O2S Test Result is not applicable to the A/F (Air-Fuel Ratio) sensor and the HO2 sensor heater. The Monitor Result is used for these components tests. For more information about the tests, refer to  13 .
    2. Procedure of O2S TEST RESULT.
      CAUTION: Strictly observe posted speed limits, traffic laws, and road conditions when conducting the drive patterns.
      1. Connect a hand-held tester or OBD II scan tool to the DLC3.
      2. Turn the ignition switch to ON.
      3. Turn the tester or scan tool ON.
      4. Clear DTCs (where set).
      5. Drive the vehicle to run the HO2 sensor monitor, in accordance with the applicable Drive Pattern described Readiness Monitor Drive Pattern section (see READINESS MONITOR DRIVE PATTERN ).
      6. After conducting the drive pattern, select the following menu items on the tester: DIAGNOSIS / CARB OBD II / O2S TEST RESULT.
        NOTE: This test is not applicable to the A/F sensor. Therefore, even when BANK 1 - SENSOR 1 or BANK 2 - SENSOR 1 is selected on the tester, "NO PARAMETER TO DISPLAY" is displayed by the tester.
      7. All HO2 sensors are listed on the tester screen.
        Fig 19: Identifying Hand-Held Tester Or OBD II Scan Tool Screen Display (1 Of 3)
        G02590439Courtesy of © TOYOTA, LICENSE AGREEMENT TMS1002
      8. Select the desired HO2 sensor from the list and press the ENTER button (a screen such as that shown on the left appears).
      9. Check the Test Value (the Test Item value).
      Fig 20: Identifying Hand-Held Tester Or OBD II Scan Tool Screen Display (2 Of 3)
      G02590440Courtesy of © TOYOTA, LICENSE AGREEMENT TMS1002
      NOTE: Until the HO2 sensor monitor runs to completion, when it fails to complete or when the ignition switch is turned to OFF, the tester screen displays the upper and lower viewable limit values for the monitor (for example, voltages: 0 V and 1.275 V, seconds: 0 and 10.2, Test Value: 0 and 255).
    3. Procedure of Reading Test Value (Example).
      NOTE: The values shown below are examples only.
      1. Check the Test Value in the Test Item line.
      2. Use the unit Conversion (conversion factor value) in the (O2S Test Result table to calculate the Test Value.
        • Test Value: 17 x Unit Conversion: 0.3906 = Calculated Value and Unit: 6.6%
      3. Check the calculated Test Value by referring to the Standard Value,
      Fig 21: Identifying Hand-Held Tester Or OBD II Scan Tool Screen Display (3 Of 3)
      G02590441Courtesy of © TOYOTA, LICENSE AGREEMENT TMS1002
    NOTE: If a Test Value is within the Standard Value, this indicates that the Test Item is normal. If a Test Value is on the borderline of the Standard Value, the Test Item may have a problem or malfunction.
    MONITOR RESULT

    Test ID Test Item Description Unit Conversion Unit Standard
    $81 Time $81 Percentage of time when HO2S voltage was below 0.05 V in HO2S monitoring time Multiply by 0.3906 % Within 60%
  13. CHECKING MONITOR STATUS 
    1. Description of MONITOR RESULT.

      The Monitor Result is part of the monitoring for malfunctions in emission related components such as the thermostat, catalytic converter, and evaporative e emission system. The various states (Test Items) of the components are monitored by the ECM. The Test Item values (Test Values) can be read using a hand-held tester or OBD II scan tool.

      A Test Value is the latest snapshot data after the vehicle is driven to run the monitor. Therefore, the Test Value is not dynamic data.

      If a Test Value is outside the Test Limit, this indicates that the Test Item is malfunctioning. If a Test Value is on the borderline of the Test Limit, any malfunctions may be concealed in the Test Item.

      Test values are cleared when the ignition switch is turned of OFF.

      Example

      MONITOR STRATEGY

      Test ID Test Item Test Value Unit Conversion Unit Test Limit
      $08 Thermostat Engine coolant temperature (ECT) Multiply by 0.625 and minus 40 °C Malfunction criteria for thermostat
      • Test ID: Code applied to each Test Item
      • Test Item: Component to be monitored in the test
      • Test Value: Value to be monitored
      • Unit Conversion: Conversion factor used to calculated the Test Value displayed on hand-held tester
      • Unit: Unit applied to Test Value
      • Test Limit: The malfunction threshold of Test Item
      NOTE:
      • Specifics of each Test Item, Test Value, Unit Conversion and Test Limit are described in the paragraph titled "MONITOR RESULT" in each DTC section relating to the emission related components.
      • The Monitor Result is not applicable to the Heated Oxygen (HO2) sensor. For more information about the test, refer to O2S TEST RESULT (MODE 05 DATA) .
    2. Procedure of MONITOR RESULT.
      CAUTION: Strictly observe posted speed limits, traffic laws, and road conditions when conducting the drive patterns.
      1. Connect a hand-held tester or OBD II scan tool to the DLC3.
      2. Turn the ignition switch to ON.
      3. Turn the tester or scan tool ON.
      4. Clear DTCs (where set).
      5. Drive the vehicle to run the monitor, in accordance with the applicable Drive Pattern described in the Readiness Monitor Drive Pattern section (see READINESS MONITOR DRIVE PATTERN ).
      6. After conducting the drive pattern, select the following menu items on the tester: DIAGNOSIS / ENHANCED OBD II / MONITOR INFO / MONITOR RESULT.
      7. The Test Items will appear at the beginning of each line followed by INCMP, PASS or FAIL.
        • INCMP: Stands for incomplete. The judgment process has not yet been finished.
        • PASS: No malfunction has been detected.
        • FAIL: A malfunction has been detected.
        Fig 22: Identifying Hand-Held Tester Or OBD II Scan Tool Screen Display (1 Of 3)
        G02590442Courtesy of © TOYOTA, LICENSE AGREEMENT TMS1002
      8. Select the Test Item (Label) from the list and press the ENTER button. You will see the following screen:
        • VAL: Test Value
        • LMT: Test Limit
        • TLT: Test Limit Type (Either 0 or 1 is displayed)
        Fig 23: Identifying Hand-Held Tester Or OBD II Scan Tool Screen Display (2 Of 3)
        G02590443Courtesy of © TOYOTA, LICENSE AGREEMENT TMS1002
        NOTE:
        • TLT = 0: VAL smaller than LMT indicates Test Item is normal (when the Test is PASS).
        • TLT = 1: VAL larger than LMT indicates Test Item is normal (when the Test is PASS)
        • The Test Value (VAL) is recorded after the monitor is completed.
        • When the Test Value is on the borderline of the Test Limit, the Test Item may have a problem or malfunction.
      9. If necessary, press the HELP to see the information about the TLT.
    NOTE: In rare cases, the test may be passed even with a DTC set and the MIL illuminated. The monitor might have detected a malfunction on a previous trip, however the malfunction was not detected on the most recent trip. This indicates that an intermittent problem may be cause of the DTC.
    Fig 24: Identifying Hand-Held Tester Or OBD II Scan Tool Screen Display (3 Of 3)
    G02590444Courtesy of © TOYOTA, LICENSE AGREEMENT TMS1002
  14. REGISTRATION 
    NOTE: The Vehicle Identification Number (VIN) must be input into the replacement ECM.
    NOTE: The VIN is in the form of a 17-digit alphanumeric vehicle identification number. A hand-held tester is required to register the VIN.
    1. Description

      This registration section consists of the three parts, Input Instructions, Read VIN and Write VIN.

      1. Input Instructions: Explains the general VIN input instructions suing a head-held tester.
      2. Read VIN: Explains the VIN reading process with the flowchart. This process allows the VIN stored in the ECM to be read, in order to confirm that the two VINs, provided to the vehicle and stored in the vehicle's ECM, are the same.
      3. Write VIN: Explains the VIN writing process with the flowchart. This process allows he VIN to be input into the ECM. If the ECM is changed, or the VIN and VIN do not match, the VIN can be registered, or overwritten in the ECM by following this procedure.
    2. Input instructions
      1. Hand-held tester
        • The allow buttons (UP, DOWN, RIGHT and LEFT) and numerical buttons (0 to 9) are used, in order to input the VIN.
      2. Cursor Operation
        • To move the cursor on the tester screen, press the RIGHT or LEFT buttons.
      3. alphabetical Character Input
        • Press the UP or DOEN buttons to select the desired alphabetical character.
        • After selection, shift the cursor.
      4. Numeric Character Input
        • Press the numerical buttons corresponding to the number that you want to input.
        • After input, shift the cursor.
        NOTE: The numerical characters can be selected by using the UP or DOWN buttons.
      5. Correction
        • When correcting the input character(s), put the cursor onto the character using the RIGHT or LEFT buttons.
        • Select or input a correct character using the UP/DOWN buttons, or the numerical buttons.
      6. Finishing Input Operation
      • Make sure that the input VIN matches with the vehicle VIN after input.
      • Press the ENTER button on the tester.
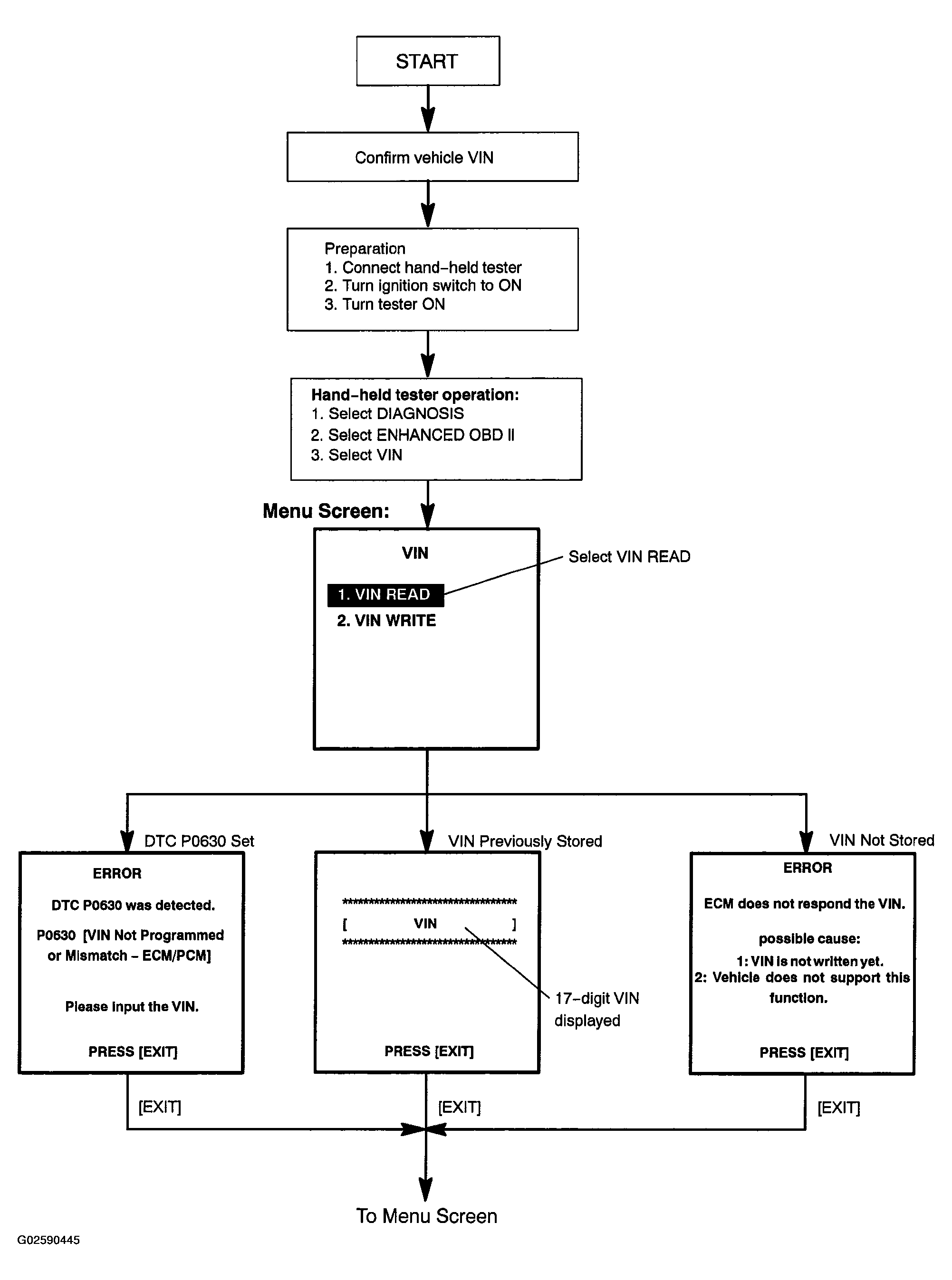
  15. Read VIN.
    1. Read VIN using the hand-held tester.
    Fig 25: Read VIN Flow Chart
    G02590445Courtesy of © TOYOTA, LICENSE AGREEMENT TMS1002
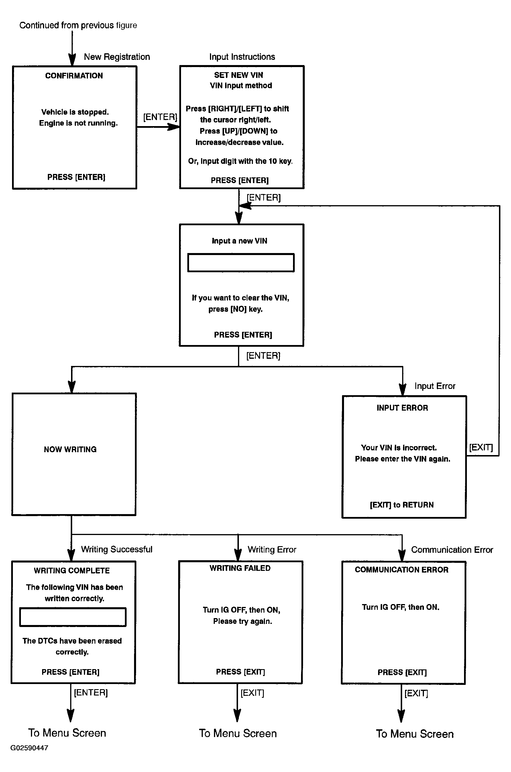
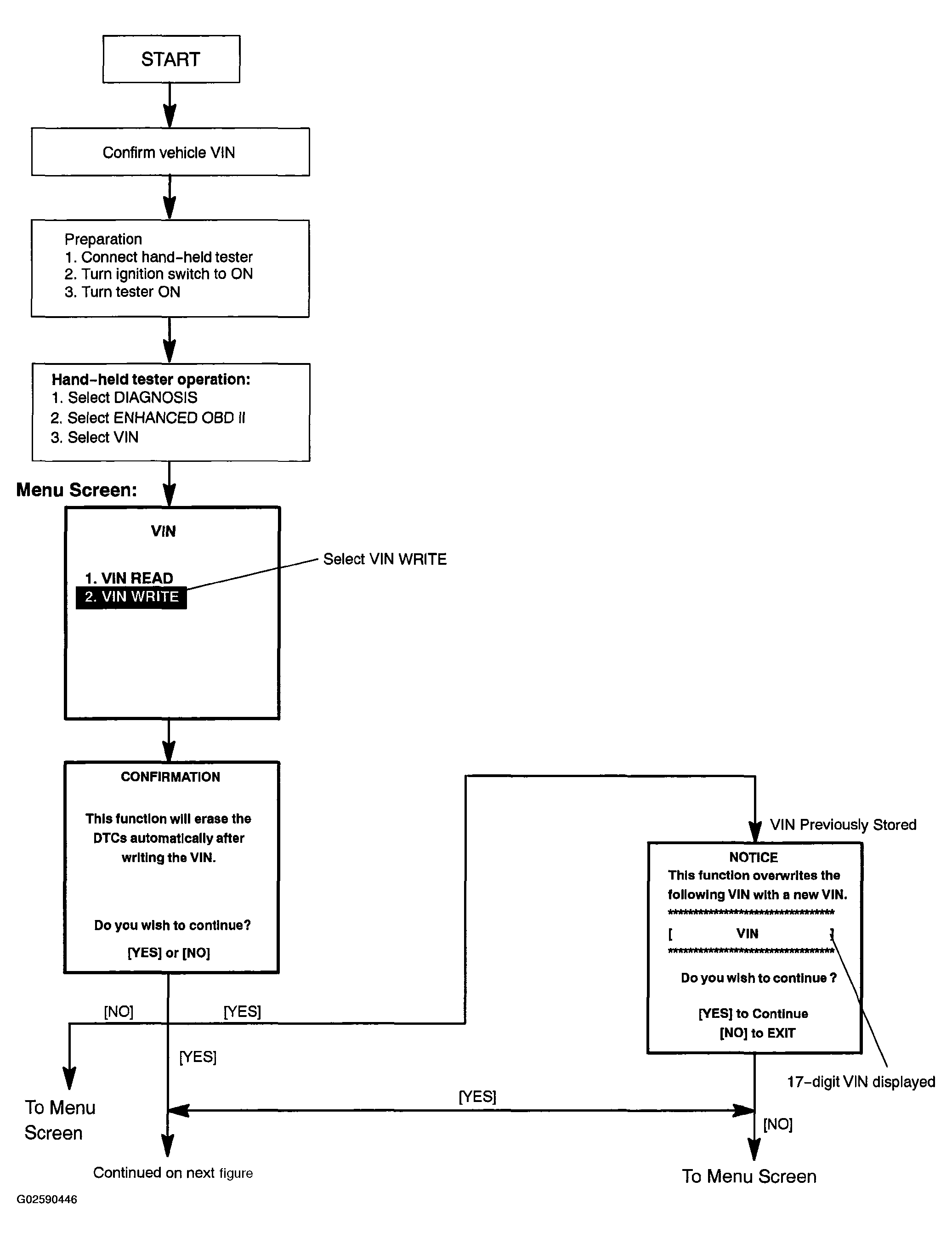
  16. Write VIN.
    1. Write VIN using the hand-held tester.
    Fig 26: Write VIN Flow Chart (1 Of 2)
    G02590446Courtesy of © TOYOTA, LICENSE AGREEMENT TMS1002
    Fig 27: Write VIN Flow Chart (2 Of 2)
    G02590447Courtesy of © TOYOTA, LICENSE AGREEMENT TMS1002