lemon-mirror:
Home >> Volvo >> 1980 >> 262 Automatic Trans >> Repair and Diagnosis >> Engine Performance >> Fuel Delivery >> BOSCH Lambda Cis Injection System - All Models >> Testing >> Cold Engine Control Pressure Test

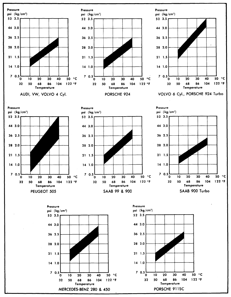
Cold Engine Control Pressure Test

  1. Testing must be done on cold engine. Unplug connectors at auxiliary air valve and control pressure regulator. Place valve on pressure gauge in open position and operate fuel pump.
  2. Check pressure quickly. Reading should fall in shaded area of graph. Be sure to check air temperature and read correct area of graph.
  3. If control pressure is not correct, retest with new control pressure regulator. No servicing is possible.
    NOTE: Some models have a control pressure regulator with atmospheric pressure compensation. Pressures may vary slightly on these models.
    Fig 1: Cold Engine Control Pressure Test Graphs
    G09310439Courtesy of NOT AVAILABLE