lemon-mirror:
Home >> Chrysler >> 2002 >> Neon LE, Automatic >> Repair and Diagnosis >> Transmission >> Automatic Trans >> Automatic Transmissions >> 41TE Automatic Transaxle >> Assembly

41TE Automatic Transaxle: Assembly

CAUTION: If transaxle failure has occurred, it is necessary to flush the transaxle oil cooler and lines to remove debris and particles that could contaminate and/or fail a new or rebuilt unit. (Refer to COOLING SYSTEMS ).
CAUTION: The cooler bypass valve must be replaced if transaxle failure has occurred. DO NOT attempt to reuse or clean old valve.
NOTE: If transaxle is being overhauled (clutch and/or seal replacement), the TCM Quick Learn procedure must be performed. Refer to DIAGNOSIS - 41TE article.
  1. Install both output bearing cups using Tool 5050. (Fig 1).
    Fig 1: Installing Both Output Bearing Cups
    G01030984Courtesy of DAIMLERCHRYSLER CORP.
  2. Install low/reverse piston retainer gasket. (Fig 2). Make sure gasket holes line up with case.
    Fig 2: Installing Piston Retainer Gasket
    G01030985Courtesy of DAIMLERCHRYSLER CORP.
  3. Install low/reverse piston retainer. (Fig 3).
    Fig 3: Installing Piston Retainer
    G01030986Courtesy of DAIMLERCHRYSLER CORP.
  4. Install low/reverse piston retainer-to-case bolts and torque to 5 N.m (45 in. lbs.). (Fig 4).
    Fig 4: Installing Piston Retainer Attaching Screws
    G01030987Courtesy of DAIMLERCHRYSLER CORP.
  5. Install low/reverse clutch piston. (Fig 5).
    Fig 5: Installing Low/Reverse Clutch Piston
    G01030988Courtesy of DAIMLERCHRYSLER CORP.
  6. Assemble park guide bracket assembly. (Fig 7). (Fig 6).
    Fig 6: Identifying Guide Bracket Components (Disassembled)
    G01030989Courtesy of DAIMLERCHRYSLER CORP.
    Fig 7: Identifying Guide Bracket
    G01030990Courtesy of DAIMLERCHRYSLER CORP.
  7. Install guide bracket into position and insert pivot shaft. (Fig 8).
    Fig 8: Installing Pivot Shaft & Guide Bracket
    G01030991Courtesy of DAIMLERCHRYSLER CORP.
  8. Install anchor shaft and plug. (Fig 9). Make sure guide bracket and split sleeve are in contact with the rear of the transaxle case.
    Fig 9: Installing Anchor Shaft & Plug
    G01030992Courtesy of DAIMLERCHRYSLER CORP.
  9. Install low/reverse piston return spring. (Fig 10).
    Fig 10: Installing Low/Reverse Piston Return Spring
    G01030993Courtesy of DAIMLERCHRYSLER CORP.
  10. Install low/reverse spring compressor into position. (Fig 11). Compress low/reverse piston and install snap ring as shown in (Fig 12).
    Fig 11: Installing Compressor Tool
    G01030994Courtesy of DAIMLERCHRYSLER CORP.
    Fig 12: Installing Snap Ring
    G01030995Courtesy of DAIMLERCHRYSLER CORP.
  11. Install rear carrier bearing cone using Tool 6053. (Fig 13).
    Fig 13: Installing Rear Carrier Bearing Cone
    G01030996Courtesy of DAIMLERCHRYSLER CORP.
  12. Install rear carrier assembly to transaxle case. (Fig 14).
    Fig 14: Installing Rear Carrier Assembly
    G01030997Courtesy of DAIMLERCHRYSLER CORP.
  13. Install output gear bearing cone using Tool 5052. (Fig 15).
    Fig 15: Installing Output Gear Bearing Cone
    G01030998Courtesy of DAIMLERCHRYSLER CORP.
  14. OUTPUT GEAR BEARING ADJUSTMENT: 
    1. With output gear removed, install a 4.50 mm (0.177 in.) gauging shim on the rear carrier assembly hub, using grease to hold the shim in place. (Fig 16).
      Fig 16: Installing Output Gear & (Select) Shim
      G01031000Courtesy of DAIMLERCHRYSLER CORP.
    2. Using Tool 6259, install output gear and bearing assembly. Torque to 271 N.m (200 ft. lbs.).
    3. Measure bearing end play. Attach Tool L-4432 to the gear. (Fig 17).
      Fig 17: Checking Output Gear Bearing End Play
      G01030999Courtesy of DAIMLERCHRYSLER CORP.
    4. Push and pull the gear while rotating back and forth to ensure seating of bearing rollers.
    5. Using a dial indicator mounted to the transaxle case, measure output gear end play as shown in (Fig 17).
    6. Refer to the output gear bearing shim chart (Fig 18) for the required shim to obtain proper bearing setting.
    7. Use Tool 6259 to remove the output gear retaining bolt and washer. To remove the output gear, use Tool L4407A.
    8. Remove the gauging shim and install the proper shim determined by the chart. Use grease to hold the shim in place.
    Fig 18: Output Gear Bearing Shim Chart
    G01031001Courtesy of DAIMLERCHRYSLER CORP.
  15. Install the output gear and bearing assembly using Tool 6261. (Fig 19).
    Fig 19: Installing Output Gear
    G01031002Courtesy of DAIMLERCHRYSLER CORP.
  16. Install NEW output gear retaining bolt and washer. (Fig 20). Using Tool 6259, torque output gear retaining bolt to 271 N.m (200 ft. lbs.). (Fig 21).
    Fig 20: Installing Output Gear Bolt & Washer
    G01031003Courtesy of DAIMLERCHRYSLER CORP.
    Fig 21: Tightening Output Gear Bolt
    G01031004Courtesy of DAIMLERCHRYSLER CORP.
  17. Using an inch pound torque wrench (Fig 22), check output shaft turning torque. Output shaft turning torque should be within 3-8 in. lbs  . If the turning torque is too high, install a 0.04 mm (0.0016 in.) thicker shim. If the turning torque is too low, install a 0.04 mm (0.0016 in.) thinner shim. Repeat until the proper turning torque of 3-8 in. lbs. is obtained.
    Fig 22: Checking Output Gear Bearing Turning Torque
    G01031005Courtesy of DAIMLERCHRYSLER CORP.
  18. Install output gear stirrup with serrated side out. (Fig 23).
    Fig 23: Installing Stirrup
    G01031006Courtesy of DAIMLERCHRYSLER CORP.
  19. Install retaining strap.
  20. Install strap bolts but DO NOT tighten at this time. (Fig 24).
    Fig 24: Installing Strap Bolts
    G01031007Courtesy of DAIMLERCHRYSLER CORP.
  21. Rotate stirrup clockwise against flat of retaining bolt. (Fig 25).
    Fig 25: Turning Stirrup Clockwise Against Bolt Flats
    G01031008Courtesy of DAIMLERCHRYSLER CORP.
  22. Torque stirrup strap bolts to 23 N.m (200 in. lbs.). (Fig 26).
    Fig 26: Tightening Stirrup Strap Bolts
    G01031009Courtesy of DAIMLERCHRYSLER CORP.
  23. Bend tabs on strap up against flats of bolts. (Fig 27).
    Fig 27: Bending Tabs On Strap Up Against Flats Of Bolts
    G01031010Courtesy of DAIMLERCHRYSLER CORP.
  24. Install transfer shaft bearing cone using Tool 6052. (Fig 28).
    Fig 28: Installing Transfer Shaft Bearing Cone
    G01031011Courtesy of DAIMLERCHRYSLER CORP.
  25. Install bearing cup and oil baffle to transfer shaft. (Fig 29).
    Fig 29: Installing Bearing Cup To Shaft
    G01031012Courtesy of DAIMLERCHRYSLER CORP.
  26. Using Tool 5049A, install transfer shaft. (Fig 30).
    Fig 30: Installing Transfer Shaft
    G01031013Courtesy of DAIMLERCHRYSLER CORP.
  27. Using Tool 6051, install transfer shaft bearing snap ring. (Fig 31).
    Fig 31: Installing Transfer Shaft Bearing Snap Ring
    G01031014Courtesy of DAIMLERCHRYSLER CORP.
  28. Install transfer shaft bearing cup into retainer using Tool 6061. (Fig 32).
    Fig 32: Installing Transfer Shaft Bearing Cup Into Retainer
    G01031015Courtesy of DAIMLERCHRYSLER CORP.
  29. Install bearing cup retainer to transaxle. (Fig 33).
    Fig 33: Installing Bearing Cup Retainer
    G01031016Courtesy of DAIMLERCHRYSLER CORP.
  30. Install transfer gear bearing cone to transfer gear using Tool 5052. (Fig 34).
    Fig 34: Installing Transfer Gear Bearing Cone
    G01031017Courtesy of DAIMLERCHRYSLER CORP.
  31. Transfer Gear Bearing Adjustment: 
    1. Install a 4.66 mm (0.184 in.) gauging shim on the transfer shaft. (Fig 35).
      Fig 35: Installing Transfer Shaft Gear & (Select) Shim
      G01031018Courtesy of DAIMLERCHRYSLER CORP.
    2. Install transfer shaft gear using Tool 6261. Using Tool 6259, install transfer shaft gear retaining nut and tighten to 271 N.m (200 ft. lbs.).
    3. Measure end play. Attach Tool L4432 to the transfer gear.
    4. Mount a steel ball with grease into the end of the transfer shaft.
    5. Push and pull the gear while rotating back and forth to ensure seating of the bearing rollers.
    6. Using a dial indicator, measure transfer shaft end play.
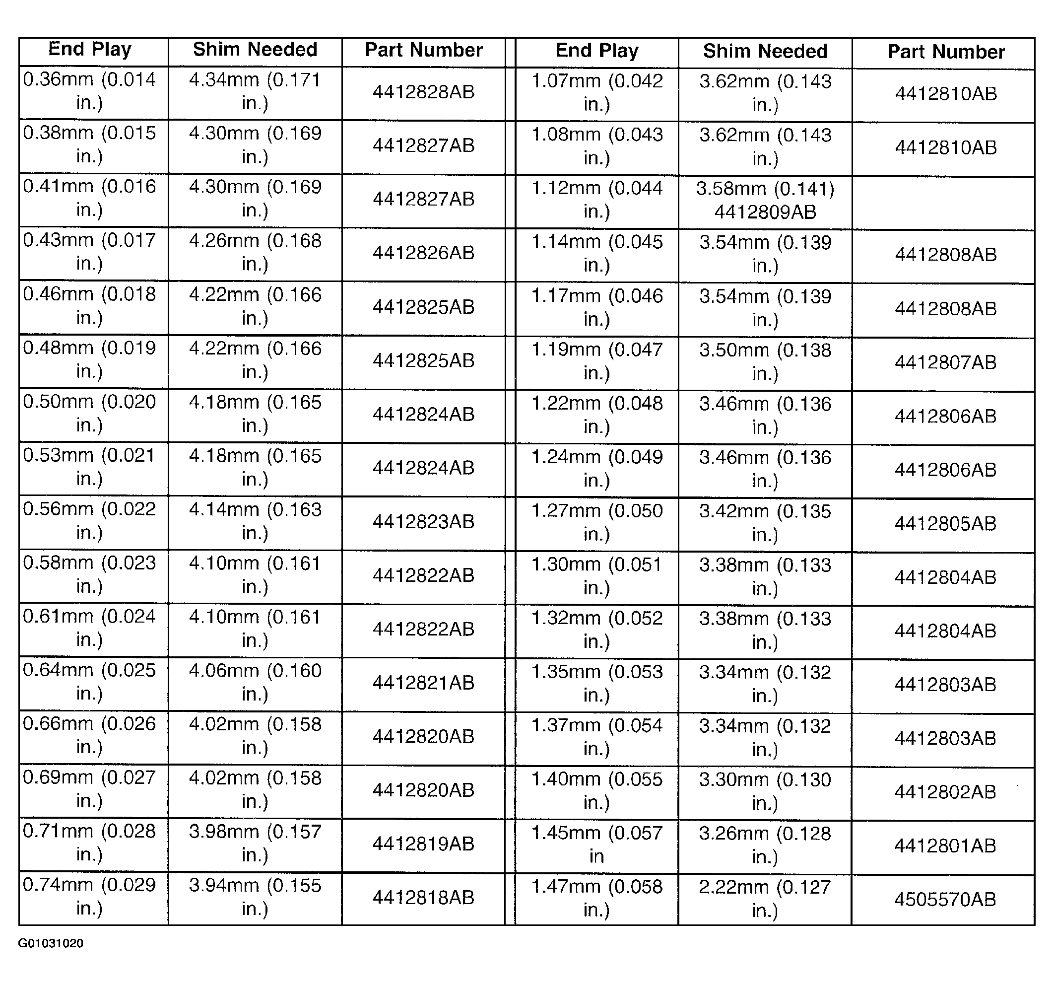
    7. Refer to the transfer shaft bearing shim charts (Fig 36 or Fig 37) for the required shim combination to obtain the proper bearing setting.
    8. Use Tool 6259 to remove the retaining nut and washer. Remove the transfer shaft gear using Tool L4407A.
    9. Remove the gauging shim and install the proper shim (Fig 35) indicated by the chart.
    Fig 36: Transfer Shaft Bearing Shim Chart (1 Of 2)
    G01031019Courtesy of DAIMLERCHRYSLER CORP.
    Fig 37: Transfer Shaft Bearing Shim Chart (2 Of 2)
    G01031020Courtesy of DAIMLERCHRYSLER CORP.
  32. Install the transfer shaft gear using Tool 626. (Fig 38).
    Fig 38: Installing Transfer Shaft Gear
    G01031021Courtesy of DAIMLERCHRYSLER CORP.
    CAUTION: Install a NEW retaining nut, as the original nut MUST NOT be reused.
  33. Install the new retaining nut and washer.
  34. Using Tool 6259, torque transfer gear retaining nut to 271 N.m (200 ft. lbs.). (Fig 39).
    Fig 39: Tightening Transfer Gear Nut
    G01031022Courtesy of DAIMLERCHRYSLER CORP.
  35. Measure transfer shaft end play. Transfer shaft end play should be within 0.05-0.10 mm (0.002-0.004 in.)  . If the end play is too high, install a 0.04 mm (0.0016 in.) thicker shim. If the end play is too low, install a 0.04 mm (0.0016 in.) thinner shim. Repeat until 0.05-0.10 mm (0.002-0.004 in.) end play is obtained.
  36. Install a bead of Mopar® ATF RTV (MS-GF41) to transfer rear cover. (Fig 40).
    Fig 40: Installing Rear Cover
    G01031023Courtesy of DAIMLERCHRYSLER CORP.
  37. Install transfer rear cover-to-case bolts and torque to 20 N.m (175 in. lbs.). (Fig 41).
    Fig 41: Installing Rear Cover Bolts
    G01031024Courtesy of DAIMLERCHRYSLER CORP.
  38. Install low/reverse clutch pack. (Fig 42). Leave uppermost disc out until snap ring is installed.
    Fig 42: Installing Low/Reverse Clutch Pack
    G01031025Courtesy of DAIMLERCHRYSLER CORP.
  39. Install low/reverse reaction plate flat snap ring. (Fig 43).
    Fig 43: Installing Low/Reverse Reaction Plate Snap Ring
    G01031026Courtesy of DAIMLERCHRYSLER CORP.
  40. Install remaining low/reverse clutch disc. (Fig 44).
    Fig 44: Installing One Disc
    G01031027Courtesy of DAIMLERCHRYSLER CORP.
  41. Install low/reverse reaction plate with flat side up. (Fig 45).
    Fig 45: Installing Low/Reverse Reaction Plate
    G01031028Courtesy of DAIMLERCHRYSLER CORP.
  42. Install tapered snap ring (with tapered side up) as shown in (Fig 46 and Fig 47 ).
    Fig 46: Identifying Tapered Snap Ring Instructions (Transaxle Case Oil Pan Face)
    G01031029Courtesy of DAIMLERCHRYSLER CORP.
    Fig 47: Installing Snap Ring
    G01031030Courtesy of DAIMLERCHRYSLER CORP.
  43. Set up dial indicator as shown in (Fig 48) to measure low/reverse clutch clearance. Press down on clutch pack with finger and zero dial indicator. Low/Reverse clutch pack clearance is 0.89-1.47 mm (0.035-0.058 in.)  . Set up indicator and record measurement in four (4) places. Take average of readings and select the proper low/reverse reaction plate to achieve specifications. (Fig 49).
    Fig 48: Checking Low/Reverse Clutch Clearance
    G01031031Courtesy of DAIMLERCHRYSLER CORP.
    Fig 49: Low/Reverse Reaction Plate Chart
    G01031032Courtesy of DAIMLERCHRYSLER CORP.
  44. Install 2/4 clutch pack (Fig 50), staggering clutch plate pads as shown in (Fig 51).
    Fig 50: Installing 2/4 Clutch Pack
    G01031033Courtesy of DAIMLERCHRYSLER CORP.
    Fig 51: Staggering 2/4 Clutch Plate Pads
    G01031034Courtesy of DAIMLERCHRYSLER CORP.
  45. Orient 2/4 clutch return spring to retainer as shown in (Fig 52), and install to transaxle (Fig 53).
    Fig 52: Identifying Proper Orientation Of 2/4 Clutch Retainer & Spring
    G01031035Courtesy of DAIMLERCHRYSLER CORP.
    Fig 53: Installing 2/4 Clutch Retainer
    G01031036Courtesy of DAIMLERCHRYSLER CORP.
  46. Using tool 5058, compress 2/4 clutch return spring just enough to install snap ring. (Fig 54).
    Fig 54: Installing 2/4 Clutch Retainer Snap Ring
    G01031037Courtesy of DAIMLERCHRYSLER CORP.
  47. Install snap ring.
  48. Set up dial indicator as shown in (Fig 55) and measure 2/4 clutch clearance. Press down on clutch pack with finger and zero dial indicator. 2/4 clutch pack clearance is 0.76-2.64 mm (0.030-0.104 in.)  . Set up indicator and record measurement in four (4) places. Take average of readings. If clearance is outside this range, the clutch is assembled improperly. There is no adjustment for 2/4 clutch clearance  .
    Fig 55: Checking 2/4 Clutch Clearance
    G01031038Courtesy of DAIMLERCHRYSLER CORP.
  49. Install rear sun gear and #7 needle bearing. (Fig 56).
    NOTE: The number seven needle bearing has three anti-reversal tabs and is common with the number five and number two position. The orientation should allow the bearing to seat flat against the rear sun gear. (Fig 57). A small amount of petrolatum can be used to hold the bearing to the rear sun gear.
    Fig 56: Installing Rear Sun Gear & No. 7 Needle Bearing
    G01031040Courtesy of DAIMLERCHRYSLER CORP.
    Fig 57: Checking No. 7 Needle Bearing Orientation
    G01031039Courtesy of DAIMLERCHRYSLER CORP.
  50. Install front carrier/rear annulus assembly and #6 needle bearing. (Fig 58).
    Fig 58: Installing Front Carrier & Rear Annulus Assembly
    G01031041Courtesy of DAIMLERCHRYSLER CORP.
  51. Install front sun gear assembly and #4 thrust washer. (Fig 59).
    Fig 59: Installing Front Sun Gear Assembly
    G01031042Courtesy of DAIMLERCHRYSLER CORP.
  52. DETERMINING #4 THRUST PLATE THICKNESS/INPUT SHAFT END PLAY: 
    1. Select the thinnest #4 thrust plate thickness and install to input clutch assembly. (Fig 60). Use petrolatum to retain.
      Fig 60: Selecting Thinnest No. 4 Thrust Plate
      G01031043Courtesy of DAIMLERCHRYSLER CORP.
    2. Install input clutch assembly into position and verify that it is completely seated by viewing through input speed sensor hole. If view through input speed sensor hole is not as shown in (Fig 61), the input clutch assembly is not seated properly.
      Fig 61: Viewing Input Clutch Assembly Through Input Speed Sensor Hole
      G01031044Courtesy of DAIMLERCHRYSLER CORP.
    3. Remove oil pump "O" ring. (Fig 62). Be sure to reinstall oil pump "O" ring after selecting the proper #4 thrust plate  .
      Fig 62: Removing Oil Pump "O" Ring
      G01031045Courtesy of DAIMLERCHRYSLER CORP.
    4. Set up input shaft for measurement with Indicator Set C3339 and End Play Set 8266 as shown in (Fig 63).
      Fig 63: Measuring Input Shaft End Play Using End Play Set 8266
      G01031046Courtesy of DAIMLERCHRYSLER CORP.
    5. Measure the input shaft end play with the transaxle in the vertical position. Input shaft end play must be within 0.005 to 0.025 inch  . For example, if end play reading is 0.055 inch, select No. 4 thrust plate which is 0.071 to 0.074 thick. This should provide an input shaft end play reading of 0.020 inch which is within specifications. (Fig 64).
      Fig 64: No. 4 Thrust Plate Identification Chart
      G01031047Courtesy of DAIMLERCHRYSLER CORP.
    6. Refer to the No. 4 thrust plate chart to select the proper No. 4 thrust plate:
  53. Install input clutch assembly. (Fig 65).
    Fig 65: Installing Input Clutch Assembly
    G01031048Courtesy of DAIMLERCHRYSLER CORP.
  54. Install #1 caged needle bearing. (Fig 66).
    Fig 66: Installing Caged Needle Bearing
    G01031049Courtesy of DAIMLERCHRYSLER CORP.
    CAUTION: The cooler bypass valve must be replaced if transaxle failure has occurred. DO NOT attempt to reuse or clean old valve.
  55. Install cooler bypass valve with O-ring end towards rear of case. (Fig 67).
    Fig 67: Installing Cooler Bypass Valve
    G01031050Courtesy of DAIMLERCHRYSLER CORP.
  56. Install oil pump gasket. (Fig 68).
    Fig 68: Installing Oil Pump Gasket
    G01031051Courtesy of DAIMLERCHRYSLER CORP.
  57. Install oil pump assembly. (Fig 69).
    Fig 69: Installing Oil Pump
    G01031052Courtesy of DAIMLERCHRYSLER CORP.
  58. Install oil pump-to-case bolts and torque to 27 N.m (20 ft. lbs.). (Fig 70).
    Fig 70: Installing Pump-To-Case Bolts
    G01031053Courtesy of DAIMLERCHRYSLER CORP.
  59. Install low/reverse accumulator. (Fig 71).
    Fig 71: Installing Low/Reverse Accumulator
    G01031054Courtesy of DAIMLERCHRYSLER CORP.
  60. Install low/reverse accumulator plug. (Fig 72).
    Fig 72: Installing Low/Reverse Accumulator Plug (Cover)
    G01031055Courtesy of DAIMLERCHRYSLER CORP.
  61. Install low/reverse accumulator snap ring. (Fig 73).
    Fig 73: Installing Low/Reverse Accumulator Snap Ring
    G01031056Courtesy of DAIMLERCHRYSLER CORP.
    NOTE: Depending on engine application, some accumulators will have two springs, and others will have one spring. The springs are color coded for application and year.
  62. Install underdrive and overdrive accumulators. (Fig 74, Fig 75 and Fig 76 ).
    Fig 74: Identifying Accumulator Components (Underdrive)
    G01031057Courtesy of DAIMLERCHRYSLER CORP.
    Fig 75: Identifying Accumulator Components (Overdrive)
    G01031058Courtesy of DAIMLERCHRYSLER CORP.
    Fig 76: Installing Underdrive & Overdrive Accumulators
    G01031059Courtesy of DAIMLERCHRYSLER CORP.
  63. Install valve body to transaxle. (Fig 77). Rotate manual valve shaft fully clockwise to ease installation. Make sure park rod rollers are positioned within park guide bracket.
    Fig 77: Installing Valve Body
    G01031060Courtesy of DAIMLERCHRYSLER CORP.
  64. Install and torque valve body-to-case bolts to 12 N.m (105 in. lbs.). (Fig 78).
    Fig 78: Installing Valve Body-To-Case Bolts
    G01031061Courtesy of DAIMLERCHRYSLER CORP.
  65. Install oil filter and new O-ring. (Fig 79).
    Fig 79: Installing Oil Filter
    G01031062Courtesy of DAIMLERCHRYSLER CORP.
  66. Apply an 1/8" bead of Mopar® ATF RTV (MS-GF41) to oil pan and immediately install to case. (Fig 80).
    Fig 80: Installing Oil Pan
    G01031063Courtesy of DAIMLERCHRYSLER CORP.
  67. Install oil pan-to-case bolts and torque to 19 N.m (165 in. lbs.).
  68. Install solenoid/pressure switch assembly and gasket to case. (Fig 81).
    Fig 81: Installing Solenoid/Pressure Switch Assembly & Gasket
    G01031064Courtesy of DAIMLERCHRYSLER CORP.
  69. Install and tighten solenoid/pressure switch assembly-to-transaxle case bolts to 12 N.m (110 in. lbs.). (Fig 82).
    Fig 82: Installing Attaching Bolts
    G01031065Courtesy of DAIMLERCHRYSLER CORP.
  70. Install and torque input and output speed sensors to case to 27 N.m (20 ft. lbs.).